图知网
搜索
首页
热门推荐
图片分类
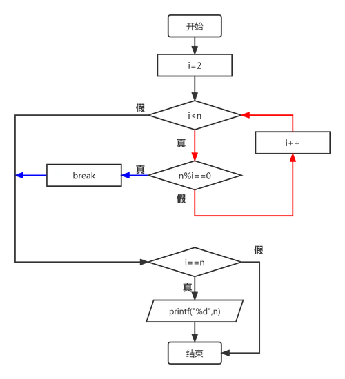
求助:c语言问题!
下载原图
相关图片
c语言流程图(总3页).docx
c语言选择排序算法
c语言算法练习之折半查找的实现c语言
for,while,do while循环的流程图表示及相应continue,break的流程图
c语言学习-从键盘输入三个数,按照从小到大(或从大到小)的顺序输出
c语言实例讲解四大循环语句的使用_编程网
为你推荐
荣耀高端机大跳水,16gb 512gb降幅高达1207元,骁龙8gen3 66w_magic
绿色系世界微笑日宣传介绍ppt模板_第1页
草莓壁纸
水果小车
乐视电视机专用六角螺丝刀s50airl553l1x355c1拆机显示屏
佛教的供奉对象ppt
来个美美的自拍
银质四蝶步摇简笔画