图知网
搜索
首页
热门推荐
图片分类
积化和差与和差化积公式
下载原图
相关图片
求积化和差的口诀 不知道的就别来凑合了
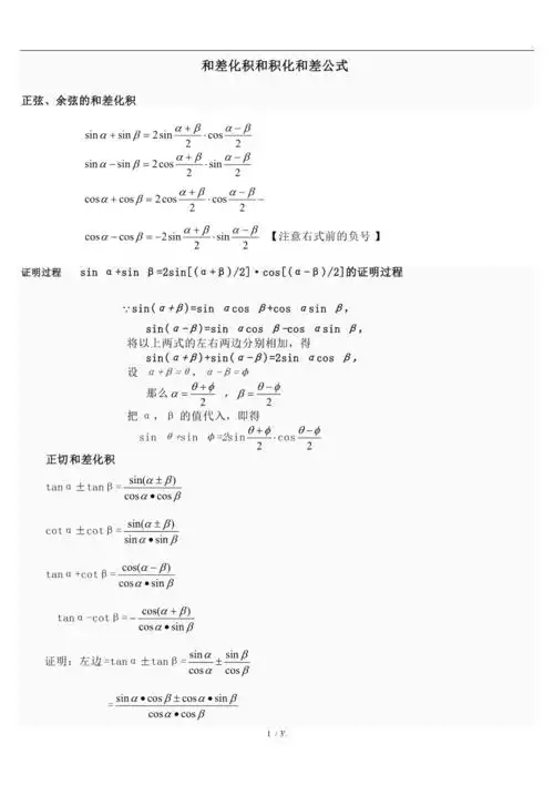
和差化积和积化和差公式
积化和差与和差化积公式教师版
和差化积| 记忆口诀:|正加正,正在前;正减正,余在前;余加余,余并肩
和差化积公式 sin x sin y 2sin x y cs x y 2 2 sin x sin y 2cs x y
三角函数和差化积与积化和差公式(附证明和记忆方法) (1)
为你推荐
安全健康最重要
长发红唇美女户外写真高清宽屏壁纸高清大图预览2560x1440_美女壁纸
个性潮酷的酷拽潮流男头图片 很酷很时尚的个性男生微信头像_男生头像
讥笑嘲讽二次元动漫微信男头_男生头像_美头网
电玩城设计案例效果图分享关注景观设计师装饰设计师电子游戏厅 游戏
橘右京 pick 不知火舞
更字的楷书怎么写,更的楷书书法 - 爱汉语网
图3虹吸管道安装图解1