图知网
搜索
首页
热门推荐
图片分类
森林超市
下载原图
相关图片
阿琰便利店头像
社区便利店如何与大超市竞争免费送货上门成关键
蛋仔派对头像.-白白便利店第一期/薯片上新- #蛋仔派对 - 抖音
便利店app软件_手机便利店app_连锁便利店软件
便利超市头像_微信头像图片大全
便利店
为你推荐
cut开启更新ing】由@赵丽颖微吧 小伙伴剪辑的《@胭脂官微 》蓝胭脂
搞怪动漫头像
欣蕾艺术学校用爱育人,专注少儿舞蹈15年,是一所用专业说话的学校
小熊胖胖的简笔画可爱萌系简笔画-小动物简笔画教程素材简笔画教程
铁血将军_电视剧_央视网(cctv.com)
【彩云之南荷花图】-自然风景论坛-zol中关村在线
一路平安带字的头像_微信头像图片大全
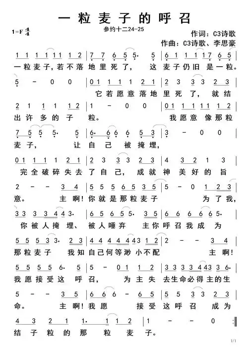
一粒麦子的呼召 官方简谱_歌词大全_乐谱吧