图知网
搜索
首页
热门推荐
图片分类
丁程鑫鳄鱼水枪#丁程鑫《你好星期六》最新剧照来啦~手捧鳄鱼水峭玩
下载原图
相关图片
丁程鑫无袖特工装##丁程鑫你好星期六特工装剧照
丁程鑫意气风发巧破难题#丁程鑫全员加速中最新剧照,意气风发巧破
画皮小唯丁程鑫
丁程鑫全员加速中播前剧照
丁程鑫意气风发巧破难题#丁程鑫全员加速中最新剧照,意气风发巧破
丁程鑫
为你推荐
基尔的歌(视觉监狱)
成熟优质高清韩系男生头像图片 高冷帅气2022最火爆微信男头_男生头像
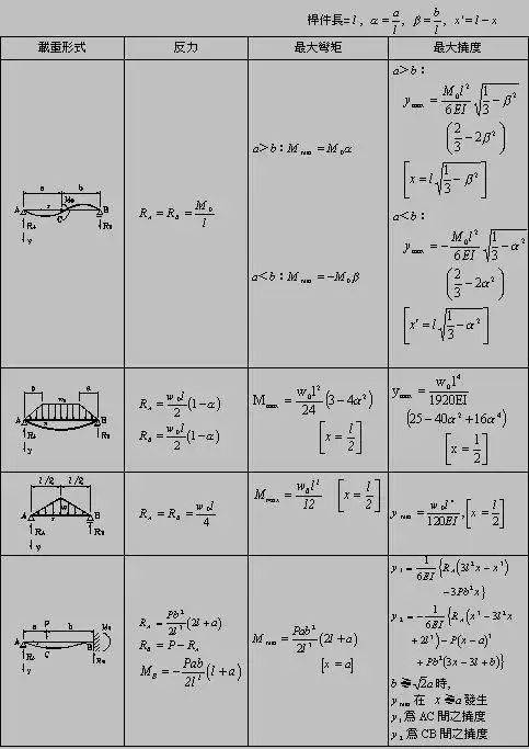
100个一些常用的弯矩剪力图
中国机长:杨颖客串1分钟最美空姐,一出场惊艳众人,太美了!
广物担当61防控疫情报道九让党旗在医疗废物处置抗疫一线飘扬
究惑lofter@南瓜粥
为大家分享几组高质量毕业设计海报 个人很喜欢这种风格的海报排版
97 新疆金丝玉宝石光戒面 1.712g