图知网
搜索
首页
热门推荐
图片分类
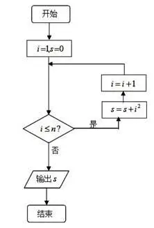
1-100的素数 流程图
下载原图
相关图片
系统设计41. 题目的基本内容 42. 程序流程图
程序流程图
当然可以!根据上述算法就可以画出程序流程图.
系统设计41. 题目的基本内容 42. 程序流程图
下面是李林同学编写的"求100以内的素数"的vb程序,但该程序有3处错误
程序小白求救sos
为你推荐
杨洋疑脱离贾士凯工作人员看王楚然赵丽颖眼神不一样塌房继续
更广泛,很多发型师也从中增加了很多流行的元素,碎发刘海非常修饰脸型
高清帅气的单身超酷个性头像男生图片
上01杨幂一身金色碎钻短裙现身亮相95看起来宛如星光熠熠的仙子
正装男头
白胡子老人 - 人像作品 - 数码摄影网论坛 - 摄影交流论坛
教你用几个括号画一个可爱的小女孩,一看就会#简笔画 #零基础 - 抖音
天津电装电机有限公司天津电装电子有限公司