图知网
搜索
首页
热门推荐
图片分类
天王刘德华师弟~川剧变脸大师 特邀到本店表演 四川非遗文化艺术
下载原图
相关图片
古有川剧变脸,今有神牛换"头"神牛ad200发布也有一年半了,当初2017年
酷炫的川剧变脸,有趣的小丑表演,还有欢乐的猪八戒,引得在场哄笑连连
变脸图片.gif
368_304gif 动态图 动图
品中华国粹,看川剧变脸绝活大年初二户外一楼东大门2月12日 10:00-10
2018安徽少儿春晚节目录制现场,兴茂带你欣赏少儿钢管舞,川剧变脸
为你推荐
手绘唯孩背影拥抱自然素材102卡通长发背影梳头发80卡通矢量
原创贾静雯弟媳朱芯仪患癌牵扯出台湾名模圈那些明枪暗箭的八卦往事
fearofgod主线第五季欧美高街麂皮绒面fog夹克
行书舞字
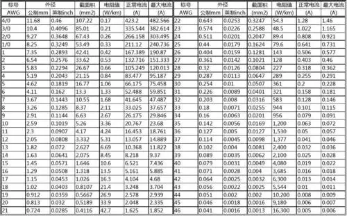
awg线径电流对照表
长沙一男童鼻塞以为感冒 妈妈发现他鼻孔"闪光"
宝马 宝马x3 2021款 改款 xdrive28i m运动套装图片
捷康展厅日用品店