图知网
搜索
首页
热门推荐
图片分类
《山海经-烛龙》
下载原图
相关图片
烛龙手稿
彼时盘古未出,宇宙混沌,无日月.烛龙以精气化之,吞吐间为朝暮.
原型是山海经中的异兽烛龙与蜚,尝试着朝自己喜欢的机械风格去画了.
烛龙.
烛龙
神话故事《烛龙》
为你推荐
一句话简单温馨的晚安心语说说图片
我为什么这么期待灌篮高手##期待灌篮高手的10个理由
餐饮美食桂林米粉logo设计清新绿色
nasa潮壁纸
来自西安的小男孩一个月的时间大肚子不见了分享一个提膝触肘动作每天
最近在研究max的粒子系统,2个效果 - 游戏特效 - cgwell游戏美术论坛
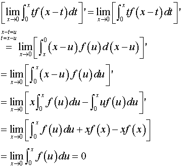
怎么求导啊?
【橘猫】小肥猫:看看,这是人干的事吗?