图知网
搜索
首页
热门推荐
图片分类
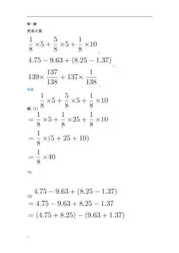
数学题求解答谢谢用简便方法算出来?
下载原图
相关图片
整数简便运算题有答案过程
小升初简便计算有答案
用简便方法计算下列各题.
简便计算,拍照片发答案给我.
用简便方法计算,要过程答案
四年级小数简便运算及答案
为你推荐
cartier卡地亚戒指情侣男女同款36毫米宽love结婚对戒婚戒多码可选b
"是阿其那,是塞思黑"
线描糖果屋 #线描##糖果屋##房屋##糖果
基础学堂 | 园林平面图绘制
省农运会舞龙比赛
亚瑟心灵战警安琪拉心灵骇客星元部件爆料
我这块水冲树化玉值多少钱.九斤重,请各位石友帮忙看看值多少钱
长城永在我心上