图知网
搜索
首页
热门推荐
图片分类
初一下册数学难题全内容2
下载原图
相关图片
七年级下数学重难点题型
七年级下册数学因式分解练习题精选
七年级数学下册二元一次方程组中等难度复习题pdf5页
人教版七年级数学下册期末测试题最新精编
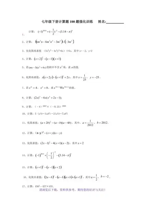
北师大版七年级数学下册基础计算题100题无答案
人教版初一数学下学期几何部分测试题共4页
为你推荐
咒术回战##七海建人
大众宝来左边仪表上有个黄色太阳灯亮了是什么原因
小幸运-我的少女时代主题曲双手简谱预览2
擦桌子
部队荣誉室设计
诺希nohonbn43小米电池红米电池适用于红米note4x标配版3gbbn43
化妆品彩妆套装全套组合女学生幼儿园表演出儿童舞台妆专用眼影盘
干果有哪些(干果)