图知网
搜索
首页
热门推荐
图片分类
31)炼钢工艺流程图
下载原图
相关图片
钢铁冶炼工艺流程图_第1页
电炉炼钢和转炉炼钢工艺流程
下面咱们一起来了解一下钢铁生产工艺流程吧:动画演示炼钢工艺流程变
详细介绍钢铁生产情况 钢铁生产流程图 http://hi.baidu.com/dwpingdu
炼钢生产流程详解
转炉炼钢工艺ppt 第8页 (共96页,当前第8页) 你可能喜欢 炼钢工艺流程
为你推荐
刘耀文壁纸热血狼崽刘耀文
97动漫风小女孩头像精选 哇~这一组小女孩动漫头像真的太可爱啦!
动漫女生头像女生动漫头像
2017年10月2日,中国女排前队长魏秋月与郎平助教袁灵犀正式举办婚礼
保留莲塘村的建筑原貌,作适当修复;增建古戏台,洗衣台,青砖毛石矮墙
新年贺岁:民间普遍供奉的武财神关公画像
美团带头搞事,这些logo设计真的好黄啊!_黄色
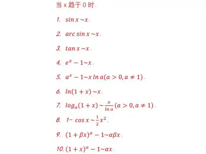
有哪些常用的等价无穷小?