图知网
搜索
首页
热门推荐
图片分类
没心没肺的笑
下载原图
相关图片
因为以前太掏心掏肺了所以搞的现在没心没肺
没心没肺才会活着不累,对吗?对的!
心慌气短(心慌气短是什么原因)
美文欣赏做个没心没肺的人
没心没肺,#萌娃漫画头像 快乐加倍78 (29^16^29) 78 - 抖音
没 心 没 肺
为你推荐
明星造假太猖狂身材脸蛋年龄没一样是真的
人民法院天平秤法锤psd分层素材psd模版下载
粉色系|又甜又仙招桃花的女生头像
神仙颜值高清唯美的女生头像
天空之城d调笛子简谱
别墅豪宅关于奢华的若干比喻
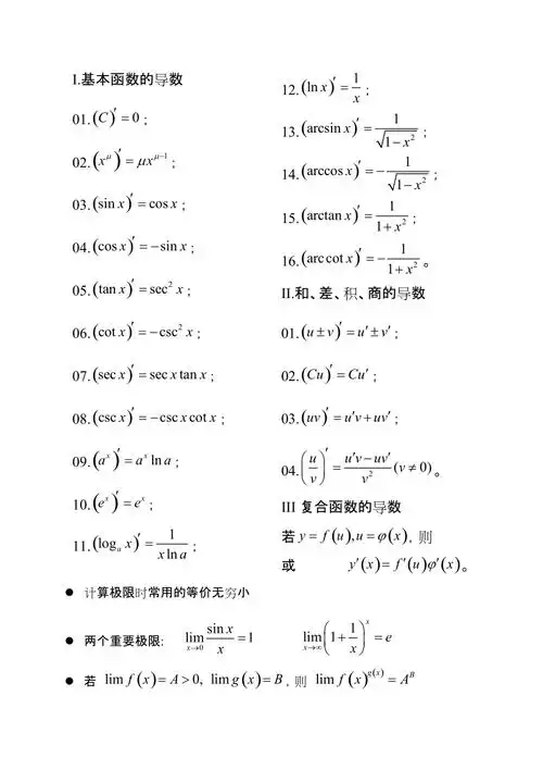
高等数学求导公式
在她的下背部和肩膀的背面从一个漂亮的女士痛苦