图知网
搜索
首页
热门推荐
图片分类
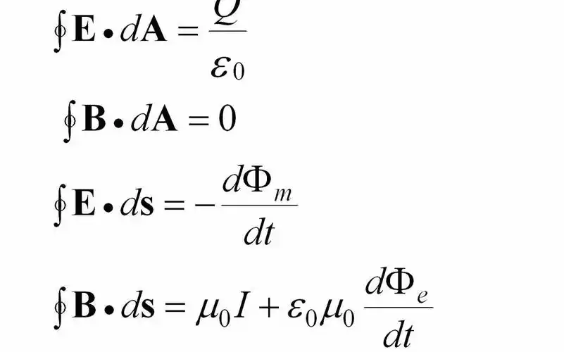
a09-电磁学-麦克斯韦方程组(最美物理公式)
下载原图
相关图片
[catder manim]四分钟了解麦克斯韦方程组的微分形式
厉害了我的公式你确定不来看看嘛麦克斯韦方程组
2,麦克斯韦方程组,当初有20个方程跟等式组成, &nbp
两分钟科普麦克斯韦方程组
no.206 麦克斯韦方程组微分形式(一):从积分如何到达微分?
轻松看懂的麦克斯韦方程组第三部分神奇的安培环路定理
为你推荐
早上好动态表情图片大全早晨好动图美图大全
西塞尔的故事(纪实:红遍中国的"丹麦天使",因太美,泰国男友禁止她独自
高清拍摄森林中漂亮的鸟(四),聆听鸟鸣,感受大自然的声音|鸟类动物
当胡慧中遇到冯淬帆,配上一首《宵禁》勾起回忆-音乐视频-搜狐视频
简笔画花边边框超简单可爱
萌宠狗汪星人快走搞怪gif动图_动态图_表情包下载_soogif
微软系统个性抽象设计
千足虫,巨大的,白色背景,波尼族,蜈蚣