图知网
搜索
首页
热门推荐
图片分类
江疏影这气质真是太绝了,西服内搭白色圆领打底衫,下搭同色的西服裤
下载原图
相关图片
江疏影穿黑色西装配微喇长裤拍写真,知性大方,女神范儿十足
江疏影甜妹爆改老公##江疏影湿发西装造型
江疏影西装私服又出幺蛾子了深v真空还是连体造型衣服抢镜了
江疏影穿黑色西装配微喇长裤拍写真,知性大方,女神范儿十足
江疏影甜妹爆改老公##江疏影湿发西装造型
江疏影甜妹爆改老公灰色格纹西装逆袭时尚潮流
为你推荐
婚纱照风格推荐
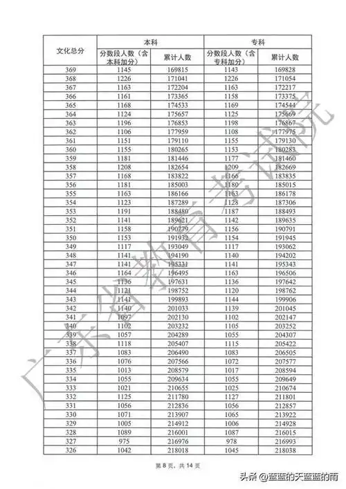
广东高考省排名一分一段表来了!你目前的分数能排全省第几名?
陈晓蓝色风衣帅气活动照图片
男明星同框比帅照来了论起颜值和成绩李易峰实打实的赢了
国字家的笔顺10画
娱乐圈女星旗袍装比拼,袁泉宋茜倪妮戚薇刘亦菲,都没有宋轶美?
月经推迟了一周多了,中午用验孕棒测了一下,一条线深,一条线很模糊,是
深圳证监局官网显示,12月6日向五矿证券发文,核准郭泽林证券公司董事