图知网
搜索
首页
热门推荐
图片分类
困知勉行 静心养气——曾国藩书法作品之传统内涵
下载原图
相关图片
0331 曾国藩 书法对联
行书八言联 曾国藩
困知勉行 静心养气——曾国藩书法作品之传统内涵
曾国藩书法作品受追捧 价格明显走强
曾国藩 1811-1872 行书七言联
曾国藩 行书
为你推荐
游天翼演绎时尚芭莎八月刊时装大片
刘聪key.l说唱卫衣邦bang 19ss 乌托邦系列 hoodie帽衫
万力幼儿园大班健康领域《保护野生动物》
漫画分镜练习
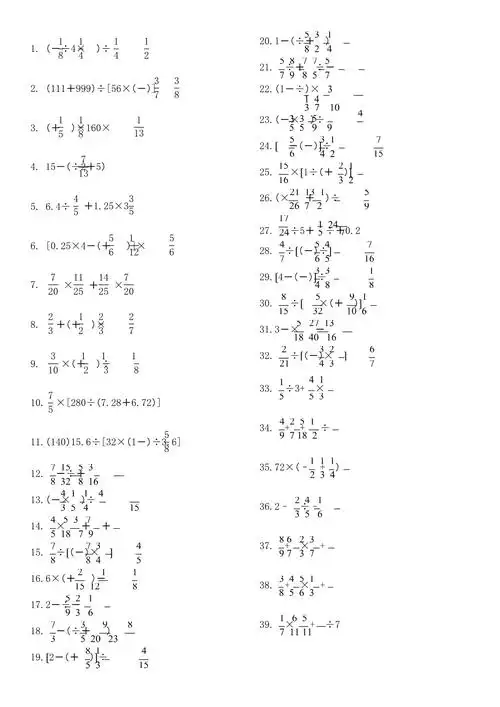
小学六年级数学计算题大全1200道
可爱小兵头像,简约而不简单,彰显品味与个性. #超可爱头像 - 抖音
比一辈子不嫁人可怕1000倍!|可怕|后果|女人_新浪网
孔雀手工折纸