图知网
搜索
首页
热门推荐
图片分类
四年级上册数学必背公式大全(概念版)三升四的家长们,暑假必须 - 抖音
下载原图
相关图片
小学四年级上册数学公式
老师整理小学四年级上册数学必背公式大全
老师整理小学四年级上册数学必背公式大全
小学四年级上册数学公式
北师大版数学四年级上册概念公式
老师整理小学四年级上册数学必背公式大全
为你推荐
哭唧唧表情包制作聊天图片表情
汽车大灯就好比汽车的眼睛,汽车大灯在晚上行车时,不仅是给自己照明
嘘07被邻居小孩问爆的自制零食盲盒教程
皮肤换季过敏的表现三,干性皮肤的人到这个时候脸部常常容易脱皮,还
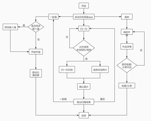
用户使用流程图
迪士尼爱洛公主
【舞蹈小课堂】你虽然是跳傣族舞的,但这些基本动作你都了解吗
这是4月23日无人机拍摄的位于四川省绵阳市梓潼县长卿山的中国"两弹城