图知网
搜索
首页
热门推荐
图片分类
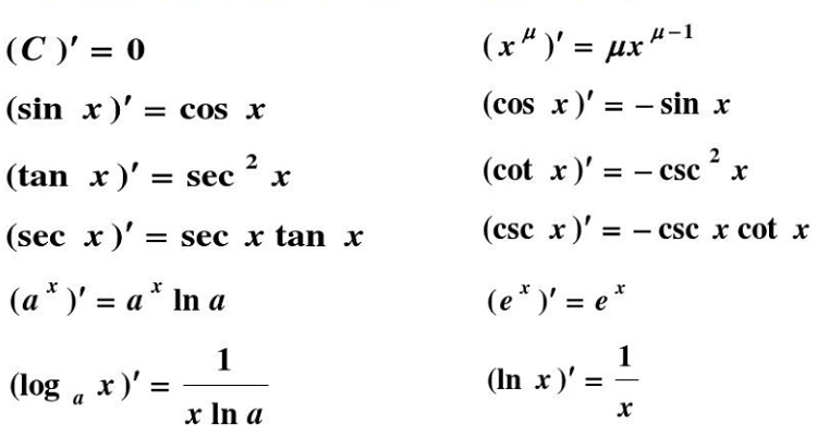
如图所示,a^(a的x次方)>0
下载原图
相关图片
a的x次方的导数
y=a的x方 y=loga(-x)的图像
ax次方如何求导网上的解说我看的自己好像没学过数学似的
a的x次方的导数是什么
高数问题,后面那个导数怎么等于a的x次方的,请写出推导过程
函数y=a的x次方-a分之一(a>0,且a≠1)的图像_百度知道
为你推荐
犹太摄影师拍摄的老上海美人照
瓜子脸美女自拍
情侣头像-兔子
巨兵长城传 #巨兵长城传冰流 #国漫 真的,谁懂啊?我好喜 - 抖音
个厂家批发500ml晶白料酒瓶空瓶白酒玻璃酒瓶密封配套酒瓶整套包装
元宵节英文版介绍风俗
中国结
今天又是一个雨天,窗外的风景已经开始变得朦胧,视线里高耸的