图知网
搜索
首页
热门推荐
图片分类
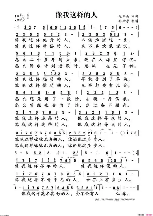
像我这样的人原创简谱毛不易作词毛不易作曲毛不易演唱
下载原图
相关图片
像我这样的人乐谱
像我这样的人简谱
像我这样的人简谱-虫虫乐谱
像我这样的人(高音教编配版)(1)_原文件名:1.jpg
像我这样的人毛不易完美原版
>>毛不易《像我这样的人》
为你推荐
那女孩对我说双手简谱预览2-钢琴谱文件(五线谱,双手简谱,数字谱,midi
庆六一系列活动之亲子制作:废物利用篇《鞋盒大变身》 写美篇六一儿童
粉笔画(黑板报角落装饰素材)简单呀 #上热门 #粉笔画 # - 抖音
雪花飞 雪花飘
从赵丽颖的日常生活照看来 她是个无欲无求的人 吃的普通,穿的普通,不
美国安大略丛林开山刀热带雨林中的开路先锋电影里的明星道具
医院心理咨询室效果图设计:营造专业与温馨并存的疗愈空间
50万级豪华suv实惠之选三款优惠给力的中大型车值得一看