图知网
搜索
首页
热门推荐
图片分类
分享81到家常菜做法大全, - 抖音
下载原图
相关图片
96菜单,菜牌,菜谱设计,适用于餐馆,餐厅,饭店,⊙ω⊙中餐 - 抖音
菜谱专业制作 #菜谱家常菜 #菜谱图片 - 抖音
餐饮 美食海报设计免费下载_餐饮 美食海报图片-千图海报大全
私房菜菜谱图片
一周菜谱大全,一起做起来.每次站在超市不知道买什么菜,就根据 - 抖音
私房菜菜谱图片
为你推荐
圣彼得大教堂不是孤立存在的,他的前面还有一段梯形和椭圆形的广场
知道自己要什么,可以一直努力追求,文字控励志桌面壁纸
冬季,日出,山,雪,阳光 壁纸 - 2560x1440
仙气古风动漫女生头像3
开国将军健在的人数还有多少
空军军人卡通图片头像 中国空军头像卡通人物迷彩_微信头像图片大全
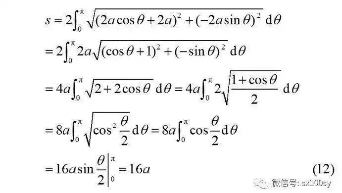
旋轮线和心形线_面积_心脏_公式
房子装修效果图图片_土巴兔装修网