图知网
搜索
首页
热门推荐
图片分类
当肝,肾俱虚时,就会在腿上有所体现!
下载原图
相关图片
外丘穴的准确位置图 功效与作用 - 胆经
在家享受温泉级足浴spa,腿和脚都被它承包了
十一足少阳胆经
学经络——足少阳胆经 - 好大夫在线
敲胆经好处多多可是有人却头胀失眠怎么回事
在拍打肝经的同时也要顺带上胆经,这两条经也非常好找,一个在大腿外侧
为你推荐
女星整容前后对比,有人美貌出众,有人惨不忍睹
冰球战98 饭绘合集看一眼就会让人沉醉的颜,阳光学长#肖战#@x玖少年
跌入知识的万丈深渊.
看世界杯画人物速写98|梅西
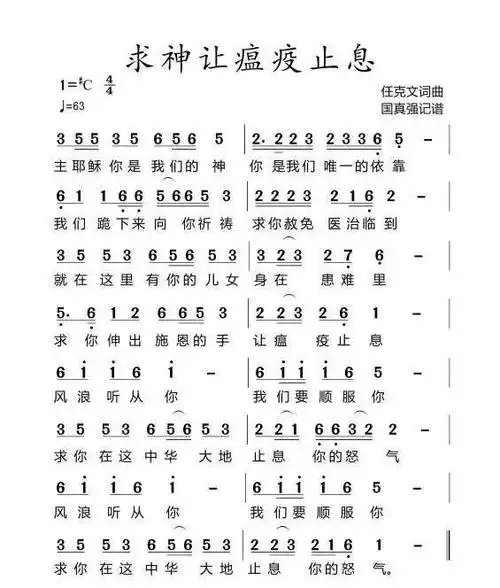
「赞美诗」求神让瘟疫止息
鬼王雷龙
香谱图解,香燃烧后的形状看吉凶,烧香香灰形状图解大全香的燃烧程度
30-40岁秋季男士商务休闲穿搭_子时_职场_自然