图知网
搜索
首页
热门推荐
图片分类
图文解说led照明产品基本原理
下载原图
相关图片
led结构图
图2-34 白光led基本结构
关于汽车led灯你不可不了解的知识!
led照明技术led的结构
led 高效节能灯结构图
cn100527414c_led灯及led灯装置失效
为你推荐
快来挑选你的4k超高清头像05 谁能拒绝这么好看又高清的头像呢?
ff14挡在哈迪斯面前的是8个公式光
阿拉伯半岛 b.印度半岛 c.中南半岛 d.朝鲜半岛 e
a little story(超级好听系列)钢琴谱-c调-虫虫钢琴
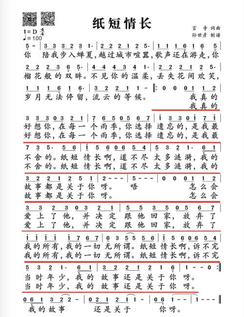
纸短情长副歌部分歌词是什么?
武术演出十八铜人阵_项目供应_演艺吧_演出网
汽车拟人汽车自己洗车免扣分层元素洗车元素
商品英汉词典