图知网
搜索
首页
热门推荐
图片分类
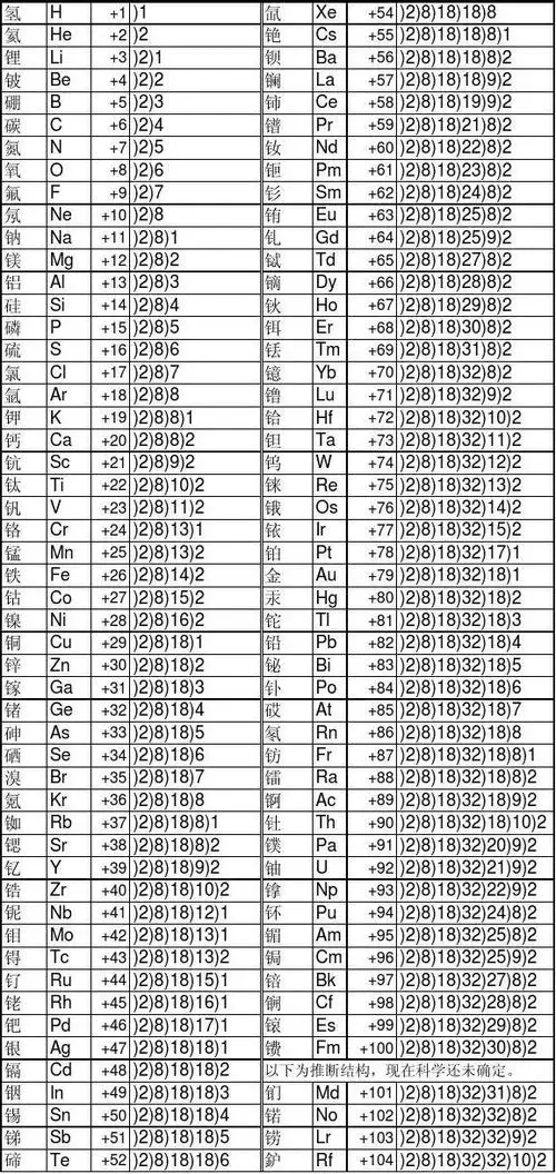
所有原子的结构示意图
下载原图
相关图片
原子结构示意图
根据1-20号元素原子结构示意图,回答下列问题:1.
示意图1~80号原子结构示意图1~36号原子结构示意图20~36号原子结构示
常见化学元素原子结构示意图
求化学的元素周期表1~18号的原子结构图
质子数为28的原子结构示意图
为你推荐
港星女神陈法蓉,英气的短发,又不失女性的柔情!-度小视
深圳航空工作证双层卡套深航登机牌皮套机场工作人员证件卡包皮套
动漫甜美可爱气质美少女头像 能不能撸获你的心93
熊猫人 老实人表情包 - 熊猫人 老实人微信表情包 - 熊猫人 老实人qq
可恶可恶你到底要忍多久.#表情包分享 #对象不是人系列情头 - 抖音
普宁广场夜景 美!
芬兰躺在玻璃屋里看极光是童话更是浪漫
截至9月30日,已在杭州奥体中心体育场,黄龙体育中心等48个场馆开展了