图知网
搜索
首页
热门推荐
图片分类
基尼系数.基尼系数(英文:gini index,gini c - 抖音
下载原图
相关图片
水的动力粘滞系数表doc
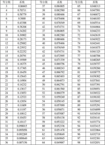
圆周等分系数参照表
圆周等分系数表
孔距等分系数
圆周等分系数表
复利终值系数表
为你推荐
绝美山水风景壁纸大放送9015
高冷霸气酷酷女头
redvelvetohboy全曲自和声
蛋白质工程ppt
老上海葱油拌面酱230g瓶装葱油酱香炸酱面调料拌饭酱料下饭 3瓶装
印度报废拖拉机,1960年生产
太平鸟的栖息环境_百度知道
儿子校内打架受伤,老师通知我出钱,我断然拒绝,我错了吗?