图知网
搜索
首页
热门推荐
图片分类
304不锈钢管厚壁管圆管工业管非标管外径27mm壁厚3mm按米卖规格全
下载原图
相关图片
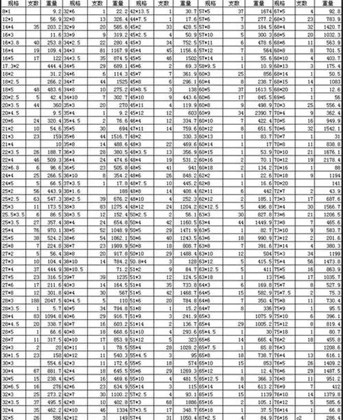
不锈钢管规格表
钢铁 工业管 供应(304 201 )不锈钢钢管 厚壁管 工业管 水道管 规格
佛山共誉大口径316l不锈钢工业焊管630*5.6mm,厂家直销,规格全,库存足
不锈钢管材部分规格表:不锈钢材质:201,202,303,304,304l,316,316l
佛山批发102*3不锈钢机械构造管 304不锈钢圆管工业面不锈钢焊管
厂家直销304焊管钢管不锈钢圆管厚壁管工业管规格齐全 按米切割
为你推荐
红头发动漫女孩使用剑壁纸
海洋意识教育东山二中海洋保护海报设计大赛邀请你投一票
灵动干净可爱的动漫女头像 仙气十足女生专用的微信动漫头像_动漫头像
朱氏头像朱氏头像朱姓头像专属姓氏头像
零线和地线都是在变压器处入了大地的 零线和地线可以相通用吗?
《霸王别姬》手稿流出:时隔25年,还是忘不了他的惊艳
《正义的电次》#电锯人 #帕瓦 #黑白漫画 @dou 小 - 抖音
ai智能管家系统丨为社区装上智慧大脑重塑物业服务管理模式