图知网
搜索
首页
热门推荐
图片分类
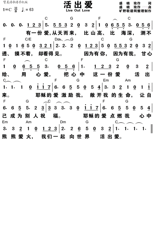
活出爱 吉他谱_歌词大全_乐谱吧
下载原图
相关图片
活出爱简谱基督教谱
歌曲活出爱及原创作者盛晓玫
活出爱简谱_盛晓玫活出爱歌谱简谱
活出爱简谱_盛晓玫活出爱歌谱简谱
43号2票真爱在呼唤5号2票天国的子民6号2票主耶稣爱你24号2票云上太阳
活出爱简谱_盛晓玫活出爱歌谱简谱
为你推荐
花琉璃大婚造型##孟子义花琉璃大婚造型
搞怪卡通头像.今日份可爱
18k金钻石豪华镶嵌天然a货翡翠俏色福到福瓜吊坠(附权威鉴定证书)
新小丑登上帝国杂志封面 邪魅气质爆棚 自杀小队整装待发 – mtime
有没有类似这种风格的微信背景图头像壁纸
羽毛球单双打接发球及计分的基本规则 11566单双打发球/击球区域
清代铜镜
因公事与同事打架,鼻梁骨被打骨折,这种情况同事该如何进行赔偿?