图知网
搜索
首页
热门推荐
图片分类
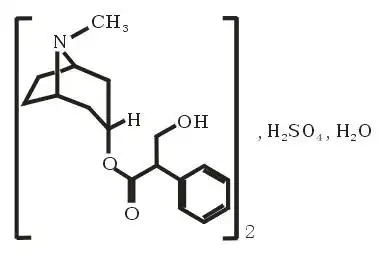
阿托品化学结构式
下载原图
相关图片
阿托品
阿托品硫酸结构式图片
阿托品与的士宁化学成分有哪些不同
硫酸阿托品注射液
硫酸阿托品的结构式是
硫酸阿托品结构式图片|5908-99-6结构式图片
为你推荐
威海的夏天,是一段美丽的时光.6月的威海石岛赤山风景区,更是美不胜收
isoo 金智秀
天才白痴往日情 粤语 歌谱 简谱
这是我画的道家:庄子的水墨画像
沉思口琴谱(线简谱混排版) 器乐乐谱
藏在老巷子里的这家冷串串牛肉鲜嫩大块柠檬冰粉清凉爽口
在郑州买房,选择金水区怎么样? - 知乎
做为90后年轻人的选择第七代伊兰特黑武士版