图知网
搜索
首页
热门推荐
图片分类
墨西哥雪球 多肉 群生 多肉植物 一物一拍 不包
下载原图
相关图片
墨西哥雪球单头群生710cm云南白色月影多肉植物花卉盆栽1棵包邮
春天多肉雪球
多肉植物【墨西哥雪球】露养多头大老桩/稀有罕见盆栽阳台防辐射
这里不开挂,多肉却也这么美!附个人养肉经验!
精控橙雪球老桩木质化杆子#多肉植物 #多肉控 #美人系 #新手养肉肉
达摩奶橙雪球
为你推荐
上海新天地时尚概念店 -2014年uooyaa就已经
特别特别好看的身材女头像 女生头像图片大全 -【爱个性】
精 技师解读:汽车仪表盘出现三角形感叹号是什么问题故障?
苏菲口袋魔法卫生巾s可伸缩
契丹帝国
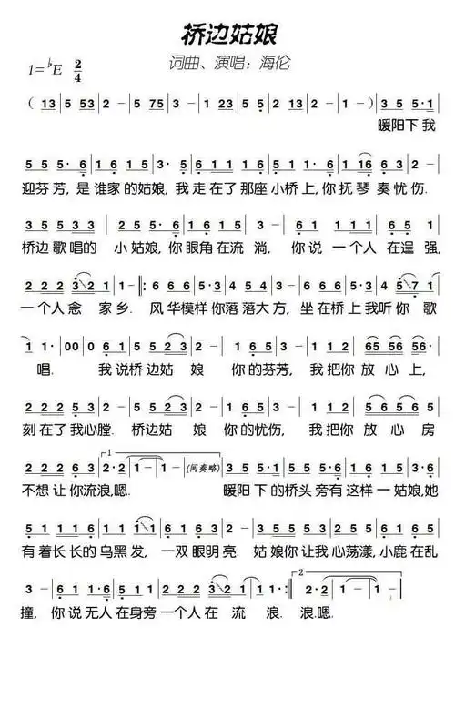
桥边姑娘-简谱口琴谱-学口琴音乐网
圣母院教堂的水彩画
抽丝蚕丝洗脸入药完整上品纯天然开口天然白色美容泡茶蚕蛹精选蛹