图知网
搜索
首页
热门推荐
图片分类
精品设计扇子设计
下载原图
相关图片
团扇设计约稿展示
其它 百变扇面 创意无限 写美篇 扇子是引风用品,夏令必备之物.
扇子|平面|图案|彡小白的梦想 - 原创作品 - 站酷 (zcool)
日式装饰图案扇子平面插画元素扇子图片
ps制作古风折扇|平面|其他平面|阿楚a - 原创作品 - 站酷 (zcool)
日式装饰图案扇子平面插画元素扇子
为你推荐
幸福 平安 健康 快乐我的亲戚朋友们祝福我的家人我许愿:今年七月
可爱的头像二次元女生呆萌
谁会折纸教我下就是那种给祭祀用的金山折法
李泰容
梅花三弄之梅花烙 的剧照
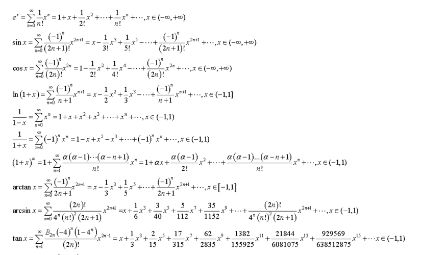
求大神把泰勒公式中常用函数的展开式写给我谢谢了,要详细的
ins/微信背景图
冬天衣服在精!懂穿搭的70后女生,有这几套就行了,精致又提档次