图知网
搜索
首页
热门推荐
图片分类
理论力学 支座反力
下载原图
相关图片
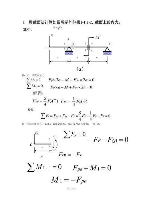
求下图所示梁的支座反力.
推荐求支座反力
求支座约束反力
求下面例题的支座反力
截面面法计算支座反力,理解问题
建筑力学与结构:求图中支座反力.
为你推荐
古风情侣头像
天道酬勤新款诚信赢天下宁静致远李士龙手写书法带画框装裱木框
朋友新居入伙祝词
风景,人文
花墙子好看还省砖
多岗直招】之清华大学附属中学永丰学校_高中岗_学科_清华附中
哈勃望远镜十大美图
假面骑士brave lv50魔王皮套 飞彩 勇者皮套