图知网
搜索
首页
热门推荐
图片分类
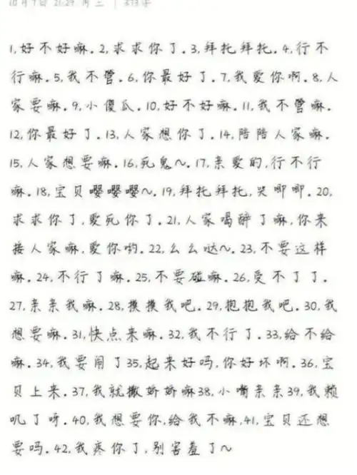
跟cp玩真心话大冒险该怎么问她 跟cp玩真心话大冒险该怎么问她呢
下载原图
相关图片
大冒险
酷蚁大冒险
随笔大冒险
大冒险
真心话大冒险问题情侣
大冒险
为你推荐
成宥利韩国女星高清写真图片
张震绣春刀_哔哩哔哩_bilibili
短碎发(第三期;短碎发发型,看看有没有合适你的发型)
2024夏季罗马平底鞋女交叉绑带鞋平跟系带平底时尚百搭凉鞋女黑色35
beyond 光辉岁月 c调 初学简易版 钢琴双手简谱 钢琴谱
菲律宾体委主任邀姚明打球只为体育无关政治
费心什么意思让你费心了是什么意思
儿童画新年舞龙马克笔绘画