图知网
搜索
首页
热门推荐
图片分类
苦力怕娘头像 - 搜狗图片搜索
下载原图
相关图片
火22了22叫22我22 苦力怕头像 - 抖音
苦力怕娘 - 半次元 - acg爱好者社区
苦力怕娘化拟人
mc我的世界萌系生物-苦力怕娘,ssssss~boom!
我的世界美图九只苦力怕娇娘任你选
伤害:100 同伴出击:召唤10只苦力怕队敌人发起进攻.
为你推荐
眼镜男生发型这样剪帅气又时尚
越老越有福的手相_手掌_生活_年龄
肖战的口罩神图戴着口罩辨识度还如此高的还有谁
潮流酷拽真人男生头像图片
马嘉祺肯德基品牌代言人
【花花】阿狸吃包子动.
光遇高马尾×雨妈 画师:三坨
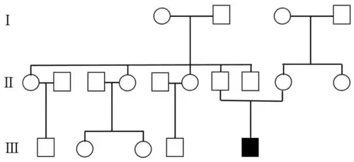
cornelia de lange综合征1例新发基因突变报道并文献综述