图知网
搜索
首页
热门推荐
图片分类
发布企业海口建菱彩砖贸易有限公司商铺认证报价请来电
下载原图
相关图片
彩虹彩砖墙.彩色砖墙图案, 彩绘砖为城市设计纹理照片
看见一些小区,公园,广场等人行道路地面铺设很多美观的五颜六色的图案
「哈尔滨步道板厂家」铺彩砖的注意事项
跨境彩色花砖图案磨砂地板贴厨房瓷砖浴室翻新自粘墙贴mz-6
户外地面铺设的彩砖
东莞人行道砖厂家
为你推荐
1984年,张卫健在张国荣的帮助下以第三届香港新秀歌唱大赛冠军身份
周润发178cm可以推算出其他男明星的身高
泰拉瑞亚npc图boss娘化图片san值狂掉的boss图片分享
【易11易9】安踏·水泥泡泡3.安踏·水泥泡泡3(11232 - 抖音
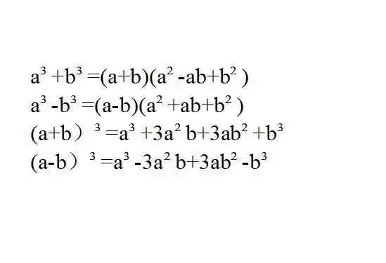
所有三次的公式
烤面包之小餐包
新安监狱举办"庆国庆 升国旗"仪式
人参果树长什么样子