图知网
搜索
首页
热门推荐
图片分类
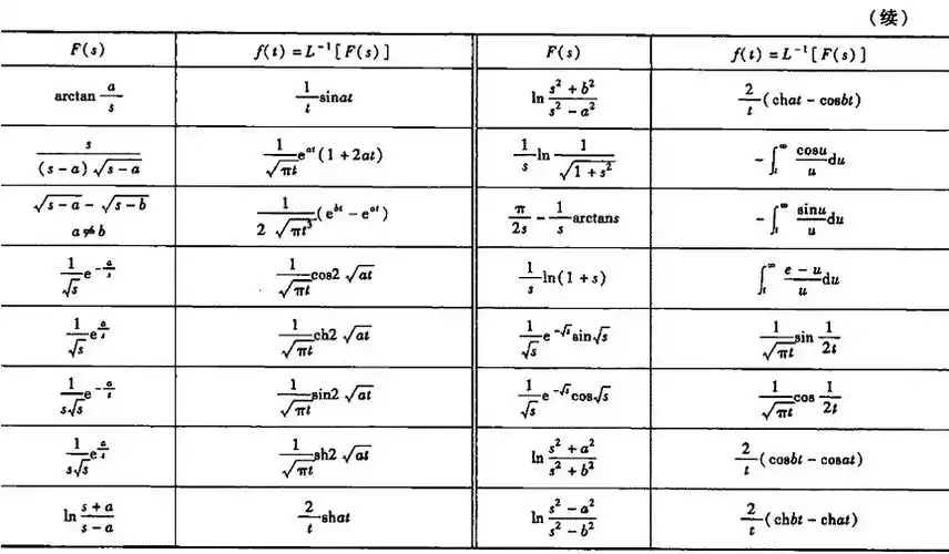
拉普拉斯变换和z变换表共2页
下载原图
相关图片
拉普拉斯变换公式
拉普拉斯变换及其逆变换表doc
拉普拉斯变换
拉普拉斯变换表
一些常用函数的拉普拉斯变换
p>拉普拉斯方程(laplaces equation)又称调和方程,位势方程,是一种
为你推荐
唯美母亲节原创插画海报母亲节插画妇女节插画节日文艺感恩节母女爱心
龚俊如何从校草修成山河令鬼王温客行
日系唯美风的二次元少女插画有一种忧郁与孤高的气质又a又飒
湖南省永州市江华瑶族自治县沱江镇阳华路
美团【绿野仙踪儿童摄影】证件照
实拍破旧便利的纽约地铁
汉武帝_匈奴_卫青
这对大宽角,是牛王擎天柱吗?