图知网
搜索
首页
热门推荐
图片分类
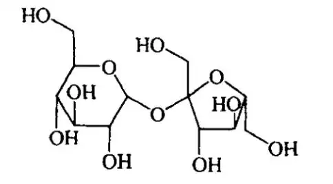
化学 蔗糖 (c12h22o11) 1. 物理性质:白色晶体,易溶于水,有甜味.
下载原图
相关图片
重要的二糖 d-麦芽糖 纤维二糖( -型) 蔗糖 乳糖( -型
蔗糖的化学式
蔗糖分子结构孤立在黑色上
蔗糖分子结构式: 向左转 向右转 淀粉可以看作是葡萄糖的高聚体.
图片浏览
蔗糖的分子,蔗糖, 3d 渲染, 孤立上白色的分子
为你推荐
任嘉伦2021嘉速前进
吴亦凡
考古陈晓和陈妍希从公开到结婚头纱吻成经典网友好浪漫
五爷庙被称为五台山第一灵!有什么想说的就留下来吧 - 抖音
新鲜到爆!这个紫皮洋葱真的是甘肃沙漠出品,口感甜脆,炒菜煮汤 - 抖音
50分钻戒封神75指尖上永不融化的雪花
香港著名演员任达华:曾因爱不要孩子,50岁看到女儿时泪流满面
无论用作哪一种墙体,镂空的艺术效果绝对会让庭院增色不少,颜值飙升!