图知网
搜索
首页
热门推荐
图片分类
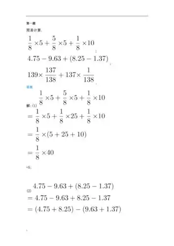
简便运算及答案ppt课件
下载原图
相关图片
六年级简便计算及答案
四年级小数简便运算及答案
小升初简便计算有答案
100道简便运算带答案例题 1,60×(1/12 1/15 1/4) =60×1/12 60×1/15
用简便计算怎么做?
脱式计算及答案带过程
为你推荐
黑发 气愤 少女.#二次元 #二次元少女 #送你一张壁纸 - 抖音
在赛后合影环节中,身高183的张桐在女篮运动员身边也更显"小鸟依人"
换装素材
姜振宇擂台自由搏击格斗 私家照片让你一次看够
粉色花朵绿叶圆框元素
数学周报八年级下册北师大版初中初二报纸2021-2022年下学期 答案
二战原品收藏日军昭五大檐帽(陆*警察)非常稀少
女孩的衣服图标