图知网
搜索
首页
热门推荐
图片分类
月亮门做法详图图纸下载_小品及配套设施施工图图纸 - 沐风网
下载原图
相关图片
月亮门施工图
甲级10公分艺术拼接门日月同辉子母门
图解石材拼接石材暗门石材隔墙工艺做法
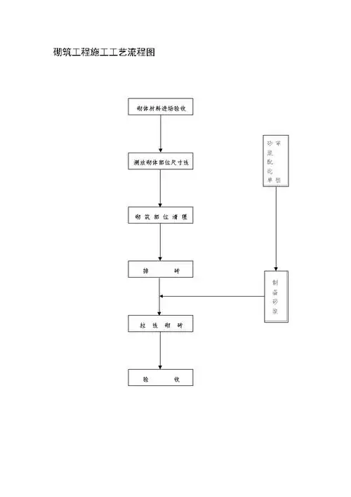
砌筑工程施工工艺流程图
园林|月亮门,中式园林景观的美!
月亮门做法详图图纸下载_小品及配套设施施工图图纸 - 沐风网
为你推荐
你所不知道的太极八卦
可爱的签名宋亚轩
杨幂卡点微博
大象往身上扬土是一种保护行为.
古风动态图 - 堆糖,美图壁纸兴趣社区
经典之作长安一代16款逸动赏析
大耳狗卡通壁纸,超萌的吉祥物,还叫玉桂狗|三七
【手工】用卡纸diy折叠式的收纳盒,不用的时候可以收起来,制作过程