图知网
搜索
首页
热门推荐
图片分类
广东高考成绩6月25日左右公布 | 早安广东
下载原图
相关图片
2023年广东高职高考录取分数参考 2022年广东高职高考录 - 抖音
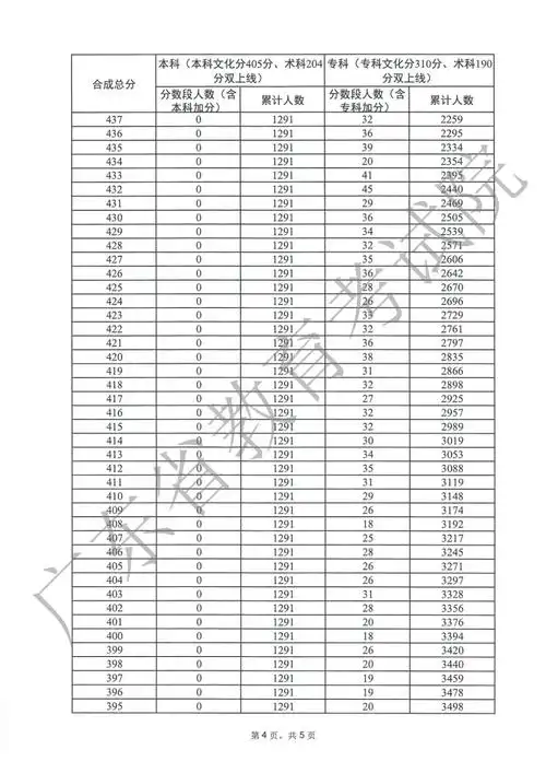
广东省2023年普通高考成绩各分数段数据公布
广东2023年高考一分一段表
2万名!广东高考全省排名表来了(本科,专科都有)
2023广东省高考分数线刚公布!
广东高考各分数段可报大学提前曝光!500分读专科,400分没得选?
为你推荐
半糖烘培烘培 i>蛋 /i> i>糕 /i>店烘培店 i>logo /i>
易烊千玺在2022-2023年度中国电影大数据盛典中称自己没把偶像当身份.
盘点红衣古装最好看的几位明星,肖战成毅惊艳,杨洋邓伦公子无双
神仙姐姐 - 堆糖,美图壁纸兴趣社区
qq头像女生背影可爱
王鸥随便穿蓝色衬衫,配休闲裤,拖鞋更有国际范
其实在演艺圈,不止一个不老童颜林志颖,也有很多中年男演员都吃了
男士高端麻衬羊毛西服高级定做商务正装私人定制婚礼套装上门量体