图知网
搜索
首页
热门推荐
图片分类
一组创意纸盒包装设计
下载原图
相关图片
创意逼真黄油食品包装盒设计贴图样机模板 cheese packaging mockup
创意包装盒设计分享.‖今日灵感分享 via/design: - 抖音
面膜包装设计案例赏析 - 艺点创意商城
道恩产品包装盒设计第28156041号稿件
包装盒厂家 创意包装盒 礼品包装设计 异形纸盒定做
个性创意纸盒包装设计图纸
为你推荐
邓超:看学霸是如何变成逗比的
飞起来的猫咪
海绵宝宝电脑壁纸有推荐的吗
冷酷无情又无比深情的眼神杀~!
红色实心卡通拳头
根据历史记载,敢坐三十多人轿子的人很少,明朝的张居正便是其中之一
球长亿万少女18国潮牌青年学生低腰牛仔短裤女夏季2022新款紧身显瘦
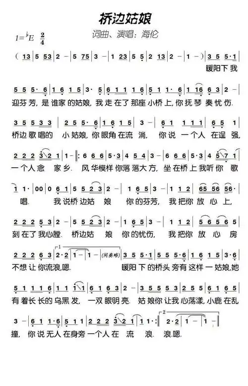
桥边姑娘-简谱口琴谱-学口琴音乐网