图知网
搜索
首页
热门推荐
图片分类
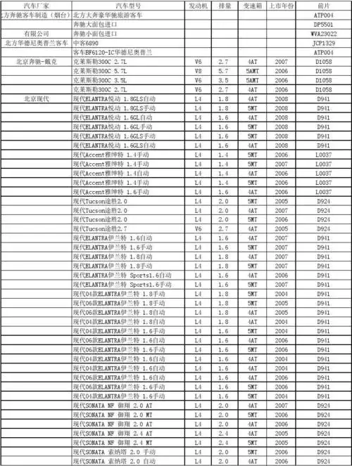
各车系刹车片通用表
下载原图
相关图片
刹车片车型对照--oe-a
刹车片与车型对照表d编号doc
刹车片与车型对照表
盘式刹车片对应车型一览表
> 刹车片型号对照表山东鲁达刹车片有限公司-刹车片品种对应国产车型
刹车片与车型对照表(d编号)
为你推荐
吉香居榨菜 下饭菜 自有蔬菜基地原料 鲜香爽脆开味菜 早餐小菜 306g
于适火花实验室
全部甲骨文对照表收藏版终于找全了
召之即来楼梯军队部队文化墙布布置3d亚克力立体墙贴
老塑料凉鞋儿童塑料凉鞋17码抚顺一塑品如图时代感强可做道具怀旧橱窗
这颗痣感觉变大了一点,会是黑色素瘤吗?图1昨天拍的图2今天拍的.
结印之术发动: 百家号春运有奖征文专稿
杨之瑶:《华丽上班族》惊现"小孙俪"