图知网
搜索
首页
热门推荐
图片分类
刃和亡
下载原图
相关图片
《刃》字义,《刃》字的字形演变,小篆隶书楷书写法《刃》
王福庵写的刃
138刃篆书王福厂说文部首临学
刃
刀的刃在哪里
甲骨文:刃
为你推荐
号称"千里眼,顺风耳"的青铜纵目面具.
25张唯美ins风背景图
早安你好路阳光远方黄色叶子温暖励志日签
虞书欣米兰时装周造型撞脸孔雪儿,女团风好看但是不高级?
踏上永生路【原版】
中国海军军服演变过程 图解
仁和苯磺酸氨氯地平片 5mg*21片降压心绞痛高血压降压片血压高药降
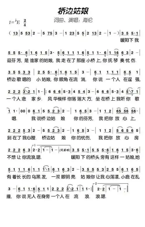
桥边姑娘-简谱口琴谱-学口琴音乐网