图知网
搜索
首页
热门推荐
图片分类
系列活动之四 举行"缅怀英烈 学会感恩"手写作文活动
下载原图
相关图片
《改变》作文 800字 中考作文(^o^) 超越 改变题材滴
作文《爱是一道靓丽的风景》 关于爱的800字记叙文 手写原创
作文《爱是一道靓丽的风景》 关于爱的800字记叙文 手写原创
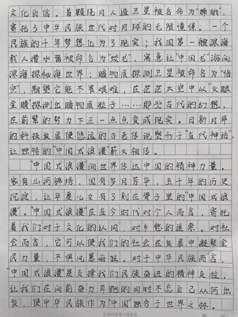
优秀作文《中国式浪漫,中国人的自信》 优秀作文手写摘抄 前有古人
追梦初中作文800字
七上作文 初一作文 手写作文我们是一家人
为你推荐
20岁关晓彤全家近照母亲高贵雍容老爸帅气有才母女俩一模样
看守所监规内容是什么2022看守所条例执法细则
老西服
超级鸡车(福州路店)-菜单-价目表-菜单图片-上海美食-大众点评网
哆啦a梦的四大未解之谜,大雄总考零分,胖虎是最强小学生
华谊兄弟电影世界重启欢乐
我是凌美雪哦巴啦啦小魔仙简笔画 巴啦啦小魔仙卡通画 可爱公主画
熊猫矢量图