图知网
搜索
首页
热门推荐
图片分类
脚心发热是身体哪里出问题3个原因认真对待尤其是女性
下载原图
相关图片
如果一到晚上,脚心就发热,先考虑下是不是晚上吃多了,或者是晚上经常
足贴祛湿 图一贴的脚底,贴上微微发热,建议睡前贴,穿袜子,不然第二天
发烧搓哪个部位退烧快
到或是想要力度更强一些,用这款硅胶拍打板,会感到拍打的地方很快发热
五心烦热|发热|失眠多梦|阴虚火旺_网易订阅
孕妇脚心发热是什么原因引起的孕妇脚心发热的调理方法有哪些
为你推荐
俞飞鸿真是一点也不显老50岁的人依旧精神饱满有光感气质一绝
黄子韬印花卫星图连体裤时尚酷帅写真
dl小臂内侧向日葵_纹身图案手稿图片_姜华山的纹身作品集
"用一句话形容永带妹"#波风水门 #秽土转生 #手绘教程 # - 抖音
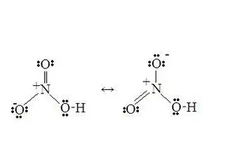
硝酸的路易斯结构式 解释 图
动漫 和尚
摸了一点.最近没时间画画#countryhumans #日本 - 抖音
希特勒,居然是从一名特务成为纳粹元首的