图知网
搜索
首页
热门推荐
图片分类
热狗儿童画怎么画热狗简笔画步骤
下载原图
相关图片
食物简笔画之热狗!
每日一画(148)简笔画热狗
热狗美味卡通
超萌手绘卡通简笔画"美味的热狗",认知儿童画,新鲜有趣又简单,和孩子
画一份热狗充饥
蔬菜简笔画 两分钟画 热狗简笔画热狗是火腿肠的一种吃法.
为你推荐
q版 杨洋
卡通矢量美女编发美发20卡通美发人物91卡通时尚专业美发宣传海报273
人间蒸发的季天笙:本有巨星潜质,因婚后和李若彤恋爱被踢出圈子__财经
客厅和阳台之间要不要玻璃门?有什么优缺点,我想说说自己的感受
鼓楼区一家洗车场的沉淀池4月22日,在鼓楼区锦江路一家汽车美容帜心
这两天董事长,总经理,各分管副总♂全部坐镇公司,本
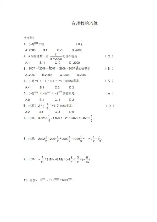
初一奥数题:有理数的巧算.pdf 5页
valextra瓦莱克斯特拉包 意大利爱马仕之称_valextra怎么样_爱马仕