图知网
搜索
首页
热门推荐
图片分类
高数|6道题拿下复合函数求导!背牢公式.#高数 #高等数学 - 抖音
下载原图
相关图片
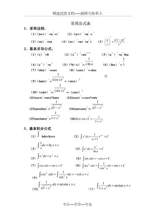
基本初等函数求导公式
高等数学求导公式
常用求导公式表共2页
的比如是正弦函数推算出余弦函数的过程…… 回答 题目不是说求导么
2,log求导公式是什么
求导公式都是由这个公式引出来的包括幂函数指数函数对数函数三角函数
为你推荐
科伊特塔,电报,山,旧金山_高清图片_全景视觉
创建电子身高档案,免费测评骨龄;【福利政策】领取生长发育手册↓返回
高清修复老照片之国外混血女明星查理兹·塞隆图片_情感_南非_个人
军运会|男子200米自由泳:季新杰夺冠
太委屈(吉他谱)1
头皮针:方氏创新之一【上新】
道家招财驱邪护身符吊坠男女纯银祛病驱鬼辟邪护身符随身保佑平安
叫我ak就好了超话今日9815"cool man"&清爽少年 w8ves@ak刘彰本人