图知网
搜索
首页
热门推荐
图片分类
化学式图片_化学式高清图片_全景视觉
下载原图
相关图片
化学元素及分子式
常用有机酸结构,化学式,分子量,别名
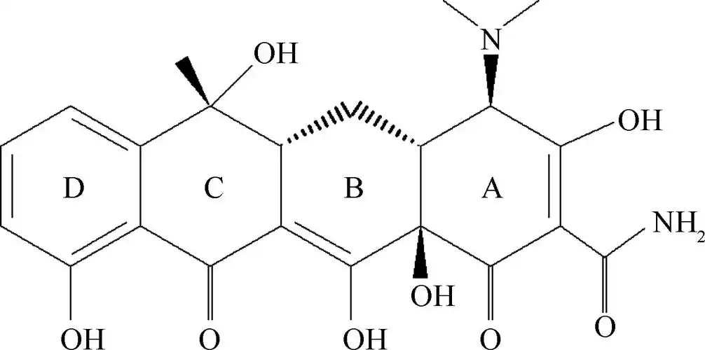
图7 四环素分子结构式
乙酸的化学式
【latex】用 chemfig 写有机化学式
药物化学分子式
为你推荐
长沙天潮贸易4s店信息及最新铃木促销活动
阳光温暖,农家小院里满眼都是翠绿的植被,盛开的鲜花和柔软的草坪
慈善名人系列肖像漫画朱之文
意大利经典vespa 《罗马假日》中赫本开的摩托车来中登广场啦!
康熙通宝上星背大福
经常会腰疼?这样揉一揉,按一按巧治腰椎间盘突出
绘本故事《小学国学经典教育读本:中国民间故事(全彩注音)》- 适合
k线操作大全第二讲:锤头线,吊颈线,倒锤头线与射击之星的识别和应用