图知网
搜索
首页
热门推荐
图片分类
戏曲头饰女花旦全套黄梅戏京剧粤剧青衣小姐小花旦儿童演出包头套
下载原图
相关图片
艺术头饰_京剧头饰 - 早旭经验网
戏服装女花旦京剧古装越剧演出头饰戏曲水袖戏剧唱戏衣服国潮戏服
戏剧头饰戏服装女花旦京剧古装越剧演出头饰戏曲水袖戏剧唱戏衣服国潮
全龙文化戏曲头饰花旦青衣头饰双光水钻头面正凤偏凤双马眼
戏曲服装女花旦新款小姐青衣丫鬟头饰头花绢花京剧越剧耳鬓花边花
悍将艾弗森淘宝戏曲头饰女京剧头饰青衣花旦京剧头面小姐戏曲头套戏
为你推荐
ins女生头像 | 心怀阳光,一直前进_nice_漂亮_微信
于莎莎的老公是李家讴,是话剧导演,中国国家话剧院制作人.
开平市小学生绘本故事创作比赛一等奖作品《龟兔赛跑2》——苍城镇
林晚晚同款头像
谍影重重5电影剧照高清壁纸谍影重重电影剧照马特达蒙艾丽西卡维坎德
你们想要的电脑分区壁纸合集来啦
寻宠济南一只可爱的俊介犬在棋盘小区丢失主人盼回
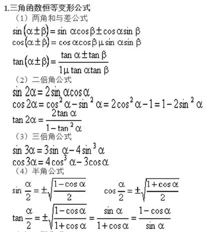
倍角公式的互换