图知网
搜索
首页
热门推荐
图片分类
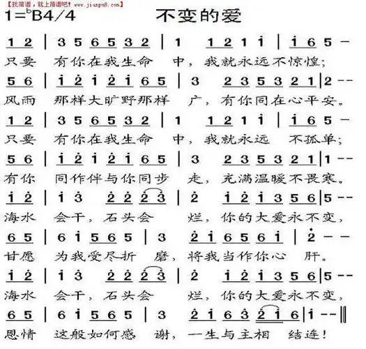
第253首 - 不变的爱_简谱_乐谱吧
下载原图
相关图片
《不变的爱》简谱
不变的爱简谱(歌词)_萧正楠演唱_电视剧《亲亲我好吗》主题曲
词曲)) / lovepu传谱相关歌谱:[简谱]你是我一生不变的爱[简谱]不变的
不变的爱 歌谱 简谱
不变的爱简谱歌谱
《不变的爱》简谱
为你推荐
山野常见植物——小飞蓬(菊科)
超级新品 网红法式刘海假发女超薄中分气质学生自然鬓角修脸八字空气
硬笔行书字帖2500常用字
武汉1400多辆蓝的分批换色全市的士统一颜色对于的士新配色你觉得怎么
求素描嫦娥奔月白描画,越多越好
【符文之地传说丨lor】俄洛伊的练级日常
吉他谱绿袖子
我来告诉你什么叫苏维埃 - 斗图表情包 - 斗图神器 - adoutu.com