图知网
搜索
首页
热门推荐
图片分类
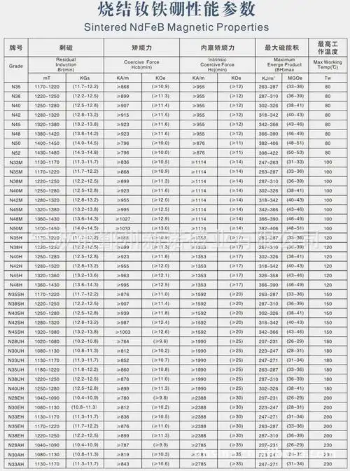
磁芯参数对照表--详细计算2
下载原图
相关图片
金属材料的导电率
相对磁导率表
进口美磁铁硅铝磁环77550a7cs330026外径33*20*10可设计定制电感
各种物质电导率表
各种磁导率看晕2929了一文梳理
专业厂家供应钐钴磁铁smco异形瓦形磁铁强力磁铁耐高温磁铁
为你推荐
李娜英个人资料_李娜英演过的电视剧_李娜英电影全集-233影院
梨型身材救星 6 种让你散发「女神气息」的伞裙穿搭指南
演出的大棚
霸王龙简笔画
中华人民共和国国歌智能简谱七孔葫芦丝独奏曲①
值得收藏 | 踝关节解剖分析(高清图文详解)|踝关节|外踝|韧带|腓骨
> 云烟(软珍品)商品评价 > 真的超级喜欢,非常支.
【资源福利帖】戏曲卡通q图合集 || 戏曲也时尚