图知网
搜索
首页
热门推荐
图片分类
支线机场
下载原图
相关图片
早安阳江全国首个在我市发布实施
阳江到珠海,仅需半小时!"阳江合山—珠海莲洲"短途运输航线通航
file:hn sanya phenix int airport taxi stop.jpg
青岛中仁健康产业集团公司_中仁澜山悦府_ 中仁地产| 胶东国际机场
阳江机场几时动工(新机场阳江2小时可达)(11)
视频丨2019年全国航班正常率出炉平均延误14分钟
为你推荐
曲直(向外弯曲为泄财,向内弯曲为采福),搭桥(即香灰相互搭而不落的
手绘女头像_女生头像_我要个性网
魔兽世界画廊吉安娜希尔瓦娜斯等
(3)图(a)为s8的结构,其熔点和沸点要比二氧化硫的熔点和沸点高很多
《人言可畏》拼音/读音/英文/繁体
古筝有多少指法?
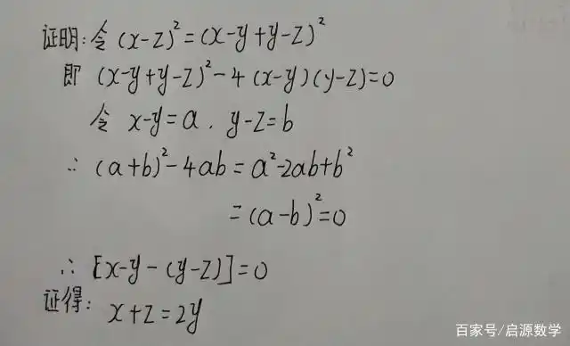
这道江苏省初中数学竞赛题,解题思路很简单,但就是不容易想出来
一键求助相关问题