图知网
搜索
首页
热门推荐
图片分类
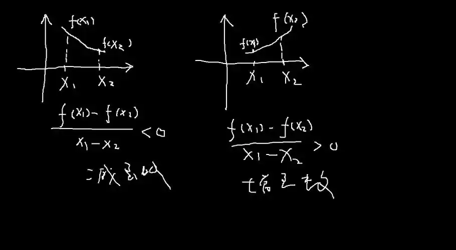
方法(二)——解决空间角的问题ppt 第5讲 │ 知识梳理 增函数 减函数
下载原图
相关图片
(-无穷,-1)减函数 (-1, 无穷)减函数
作函数f(x)=-3x 4的图像,并证明它是r上的减函数
1解: (1)(-π/2,0),sinx增函数,则sin(-π/18)>sin(-π/10) (2)cos(-2
这是减函数定义的表达式嘛
函数x减(x分之一)的图像是什么?_百度教育
求证,函数fx=2x立方 3x平方-12x 1在区间 -2,1>内是减函数
为你推荐
王宝强与刘昊然同框颜值竟然没有丝毫逊色的意思
动漫 插画 唯美 少女壁纸【202】
饭圈设计blackpinkrose朴彩英q版立牌
人间- 吉他谱 - 歌谱简谱大全
祖娅纳惜中元特供子不语罗刹鸟
19天:上山狂欢,"炸贱"实锤,蛇立想脱单?彩蛋太多你get到吗
原神人物高清图片
厂家直销直纹平卷纸管机 纸管平卷机卷管机