图知网
搜索
首页
热门推荐
图片分类
oars alps exfoliating bar soap, natural skin care, with
下载原图
相关图片
14 – the oarsman
求好看的动漫,类似加速世界,灼眼的夏娜,看起来比较有内容的?
oars alps natural deodorant for men and women, aluminum
新世界狂欢 ssr 奥利文 向纯洁象征告解 密话3
【深空之眼】欧申纳斯心链剧情(含配音)
oars alps natural deodorant for men and women, aluminum
为你推荐
活动作品剪辑夕阳西下的鬼刀
宋梓侨
96超可爱动漫女生头像 分享一直手绘可爱女生头像,粉粉嫩嫩简直人间
安和桥-弹唱完美版g调六线吉他谱-虫虫吉他谱免费下载
你的笑容可以治愈一切#【可爱的妹妹,赵今麦】
b.duck小黄鸭 儿童全能定制印章 - 普象网
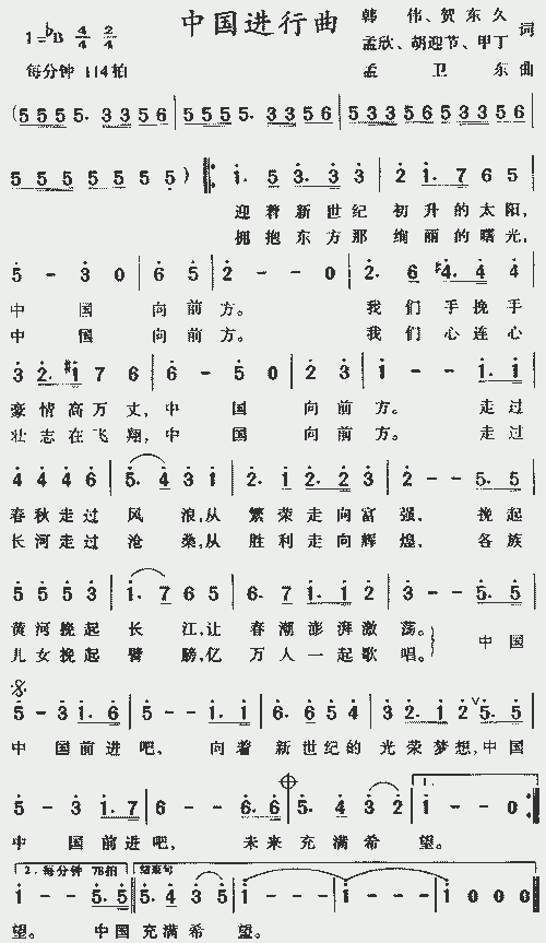
中国进行曲
小舞名场面!送给不乐断子绝孙脚!斗罗大陆最狠的一脚!#斗罗大陆饭制大